Revista Brasileira de Ecologia, Volume 01 Número 02, 1997

INTRAPOPULATIONAL VARIATION IN GROWTH RATES OF NESTLING RUDDY GROUND-DOVE (Columbina talpacoti,Aves:Columbidae) IN BRAZIL

 

Renato Cintra1& Roberto B. Cavalcanti2

 

1Departamento de Ecologia do Instituto Nacional de Pesquisas da Amazônia-Manaus,AM-Brasil.

2Departamento de Biologia Animal da Universidade de Brasília-Brasília,DF-Brasil.

 


ABSTRACT

 

Ricklefs (1968,1976) suggested that tropical birds grow more slowly than birds from temperate regions. However, this hypothesis has been questioned (Oniki & Ricklefs 1981). The majority of data on growth rates of neotropical birds are from Central America and Surinam, with little data on intrapopulation variation. In this paper,we focus intensively on one tropical bird species (nestling Ruddy Ground-dove, Columbina talpacoti) at one site in Brazil,and quantify the variation in growth rates in relation to time of year, number of nestlings in the nest, and hatching sequence. We used two methods to estimate the growth parameters, that of Ricklefs(1967) and that of Richards (Brisbin et al. 1986). Growth rate constants for weight varied more among nests than within nests. Similar variation was observed for asymptotic weight, and for final wing length. Our results show that the Ruddy Ground-dove is able to sustain nearly year-round reproductive activity, with nestling growth rates much higher and more variable than previously recorded for this species and tropical birds in general. If variation within other tropical species proves to be similar, it is clear that much larger sample sizes will be required for meaningful interspecific comparisons.

Key words: nestling growth rates; intrapopulational variation; birds, Ruddy ground-dove, Columbina talpacoti.


 

INTRODUCTION

 

The Ruddy Ground-dove (Columbina talpacoti) is widely distributed in the Neotropical region. In Brasília, Central Brazil, it breeds all year, affording the opportunity to study variation in breeding parameters between the various seasons of the year. In addition, several aspects of the breeding biology of this common bird are yet unstudied (but see Haverschmidt 1953, Skutch 1956, Carvalho 1957, Trollope 1974).

The purpose of this study is to examine the growth rates of nestling Ruddy Ground-dove. Ricklefs (14, 15) suggested that tropical birds grow more slowly than birds from temperate regions. However, this hypothesis has been questioned (11). In Ricklefs' (15) study, due to the scarcity of data, several species were represented by data from only one nestling. The enormous variety of tropical ecosystems may result in considerable variation within the tropics, which could obscure comparisons between tropical and temperate regions. The majority of data on growth of neotropical birds are from Trinidad, Panama, and Surinam, with little data on intrapopulation variation (11, 15). In this paper, we focus intensively on one tropical species at one site in Brazil, and quantify the variation in growth in relation to time of year, number of nestlings in the nest and hatching sequence.

 

MATERIAL AND METHODS

The work was conducted from January 1982 through February 1983 at the University of Brasília (UnB) experimental farm, 20 km SE of Brasília (15o 57’ S and 47o 54’ W), Brazil. The study site comprised 6.5 ha, which included a variety of native and introduced vegetation types. Native cerrado vegetation (7, 12) covered 2.5 ha, a coffee plantation occupied 2 ha, and the remaining 2 ha included planted cypress (Cupressus sp.) trees and a kitchen garden. The study was part of a larger investigation on the reproductive biology of the Ruddy Ground-dove (4, 5). To measure growth, we visited nests daily between 0800 and 1000 am. In nests with two nestlings, one was marked on the back with white acrylic paint, to ensure individual identification. Body weight as recorded to the nearest 0.2g using Pesola spring balances, and wing length (curved wing) at 11 days (the time when most fledglings were leaving the nest) as measured with vernier calipers to within 0.1 mm. Nestlings were banded with numbered aluminum bands(CEMAVE) on the right tarsus. We used two methods to estimate the growth parameters, (1, 13). Use of the method proposed by Ricklefs(13) was undertaken to compare our results with others in the literature. Therefore most of the results and discussion sections are based on parameters estimated using Ricklef's method. The Richard's curve estimates an extra parameter (shape of the growth curve) from the data. We used this method to test for shape relationships which cannot be estimated by the Ricklef's method and as a check for type II errors by the Ricklef's logistic equations. Growth data for each nestling were fitted to a logistic curve using the method of Ricklefs (13). The equation had the form:

 

W(t) = A {1+exp[-K(t-ti)]}-1

 

where W(t) is the weight (g) at age t (days), A is the asymptotic weight (g), K is the growth rate constant (in days-1), and ti is the age (days) at the point of inflection (11). We used only weights that were less than 90% of the estimated asymptotic weight.

Brisbin's procedures comes from a reparameterized Richards process error sigmoid growth model (1, 2). According to Brisbin et al. (1), the procedure allows the independent quantification and statistical comparison of three major characteristics of growth curves,"(1)size: a measure of the magnitude of the asymptote approached by the growth process; (2)rate: a measure of the approximate amount of time required to complete growth; and (3)shape: a value which expresses the specific path or trajectory taken by the growth process to approach the asymptote within the time constraints of the total growing period."

In this growth model the equation has the following form:

(Wi+1-Wi / ti+1-ti) = (2(m+1) / T(1-m)) . (W¥1-mWim-Wi)+ei,

where Wi= body weight or size at time ti, W¥ = the asymptotic weight or size; T= the overall growing time, indicative of growth rate; m= the Richards shape parameter; and ei= the stochastic error at time ti.

Curve fitting procedures to estimate the parameters W ,T and m which represents the quantification of the characteristics

of growth size, rate and curve shape respectively, were done using Non-linear models from Systat (18). We also used Systat to run all statistical analyses in this study.

 

RESULTS AND DISCUSSION

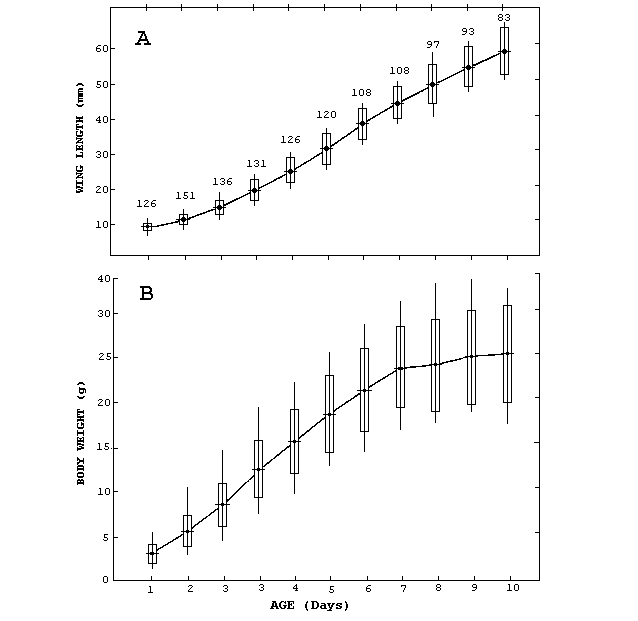
The Richard's model was able to estimate an extra parameter, it did so at the expense of precision in the estimates of asymptotic weight (W) and overall growing time (T). The results from Tables 1 and 2 show that even though there were no significant differences in the shape parameter, the Richards model was not able to detect significant variation between treatments in a asymptotic weight (W) shown by the "Ricklef's method". Ruddy Ground-dove nestlings growth data (over 11 days period) are consistent with a logistic curve (Fig. 1 A, B).

Figure 1. Growth Curves for nestling Ruddy Ground-doves in relation to age. (A) Wing length,(B) Body weight. Dots represent means, rectangles are standard deviations, vertical lines are ranges, and numbers are sample sizes.

 

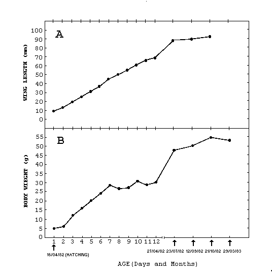
One individual was banded as a nestling and recaptured several times within the next year. This bird left the nest with a weight of 30.5 g, 63% of that of an adult male (Fig. 2B). Within three months he had reached 97% of the mean adult male weight, and after one year weighed 8% over the mean. He left the nest with a wing length 71.4% of the male adults' mean (Fig. 2A).

Figure 2. Growth Curves in relation to age for one Ruddy Ground-dove followed from nestling through its first year. (A) Wing length,(B) Body weight.

 

The mean growth rate constant for the population was 0.561 day-1 (SD= 0.113, N= 111). Mean asymptotic weight was 27.8 g (SD= 3.105, N=111) and mean final wing length was 59.2 mm (SD= 4.946, N= 107). Growth rates were higher and asymptotic weights were similar to those reported by Ricklefs (15) for this species. However, the range of growth rate constants we observed (0.283 to 0.835) indicates substantial variation within the population, and is comparable to the variation recorded among all species surveyed by Ricklefs (15). Growth rate constants varied more among nests (coefficient of variation= 16.6 %) than within nests (CV= 8.32 %). Similar variation was observed for asymptotic weight (CV among nests= 8.4 %, CV within nests= 6.94 %), and for final wing length (CV among nests= 7.31 %, CV within nests= 3.99 %). Ruddy Ground-doves bred throughout the year, adding a seasonal component to the potential sources of variation in growth parameters. We found significant variation in growth rate constants and asymptotic weight between months (Tables 1 and 4), and variation in final wing length approached significance (Tables 3 and 4). As expected, number of nestlings per nest had a significant effect on both growth rate constants and asymptotic weight (Table 1). Nests with one nestling produced birds with higher growth rate constants and asymptotic weights. Final wing length did not vary significantly between nests with one and nests with two nestlings (Table 3). Thus, number of nestlings per nest affected primarily rates of weight gain rather than skeletal growth in the population studied. Interactions between effects of month and number of nestlings per nest were significant for growth rate constants, and approached significance for asymptotic weight and final wing length (Tables 1 and 3).

 

Table 1. Analysis of variance of the growth rate constant, asymptotic weight (using Ricklefs' method) in relation to month and number of nestlings in the nest.

 

Ricklefs' growth rate constant (K)

Source

Sum of Squares

DF

F

Significance

Month

0.196

4

4.801

0.001

Nestlings

0.075

1

7.395

0.008

Interaction

0.104

4

2.550

0.044

ERROR

1.029

101

 

 

 

Ricklefs asymptotic weight (A)

Source

Sum of Squares

DF

F

Significance

Month

84.937

4

2.625

0.039

Nestlings

109.698

1

13.562

0.000

Interaction

61.607

4

1.904

0.116

ERROR

816.946

101

 

 

 

 

Table 2. Analysis of variance of shape of growth curves, overall growing time and asymptotic weight (Brisbin's proceedures), in relation to month and number of nestlings in the nest.

 

Richard's shape of the growth curves (m)

Source

Sum of Squares

DF

F

Significance

Month

34.888

4

1.349

0.258

Nestlings

5.563

1

0.861

0.356

Interaction

10.055

4

0.389

0.816

ERROR

607.628

94

 

 

  

 Richard's asymptotic weight (W)

Source

Sum of Squares

DF

F

Significance

Month

675.514

4

3.812

0.006

Nestlings

138.747

1

3.132

0.080

Interaction

146.538

4

0.827

0.511

ERROR

4163.981

94

 

 

 

Richard's overall growing time,indicative of growth rate (T)

Source

Sum of Squares

DF

F

Significance

Month

168.313

4

2.313

0.063

Nestlings

17.927

1

0.986

0.323

Interaction

34.334

4

0.472

0.756

ERROR

1709.768

94

 

 

 

Table 3. Analysis of variance of the wing length at fledging, in relation to month and number of nestlings in the nest.

 

Source

Sum of Squares

DF

F

Significance

Month

193.030

4

2.190

0.076

Nestlings

20.062

1

0.911

0.342

Interaction

183.672

4

2.084

0.089

ERROR

2137.165

97

 

 

 

 

Table 4. Growth rate constants (K),asymptotic weights(A),and wing length at fledging(WING) for various times of year and nests with one or two nestlings of Ruddy Ground-dove.

 

Var

# of Nestl.

Feb

Abr

May

Jul

Nov

Total

K

One

0.451

0.680

0.616

0.669

0.706

0.617 a

 

 

(0.106)

(0.010)

(0.099)

(0.122)

(0.064)

(0.129) b

 

 

5

4

4

6

3

22 c

 

 

 

 

 

 

 

 

 

Two

0.512

0.537

0.569

0.515

0.637

0.547

 

 

(0.139)

(0.077)

(0.112)

(0.l01)

(0.076)

(0.104)

 

 

8

24

32

20

5

89

 

 

 

 

 

 

 

 

A

One

32.4

31.5

30.9

28.1

26.2

29.9

 

 

(2.82)

(3.03)

(1.41)

(3.35)

(3.25)

(3.44)

 

 

5

4

4

6

3

22

 

 

 

 

 

 

 

 

 

Two

27.4

27.0

27.5

27.1

26.7

27.2

 

 

(5.49)

(2.87)

(2.01)

(2.55)

(2.49)

(2.78)

 

 

8

24

32

20

5

89

 

 

 

 

 

 

 

 

WING

One

57.9

63.0

59.8

57.0

59.3

59.2

 

 

(5.78)

(2.83)

(1.93)

(7.66)

(3.18)

(5.16)

 

 

5

4

4

5

2

20

 

 

 

 

 

 

 

 

 

Two

53.8

59.1

59.5

61.5

56.9

59.2

 

 

(7.49)

(4.68)

(3.48)

(3.36)

(9.07)

(4.93)

 

 

8

24

32

19

4

87

a= mean; b=standard error; c= sample size.

 

The first-hatched nestlings had significantly higher final wing lengths than second-hatched nestlings (Mann-Whitney U-Test, U = 1003, p<0.05, N=80). Growth rate constants (K) and asymptotic weights (A) were not significantly different between first- and second-hatched nestlings (K: Mann-Whitney U-Test, U=794, p=0.95, N=80; A: Mann-Whitney U-Test,U=797, p=0.97, N=80). Growth rate constants (K) and asymptotic weight (A) were not significantly correlated (r2= -0.07, p>0.05, N=111). However, final wing length showed low but significant correlation with both K (r2=-0.223, p<0.05, N=107) and A (r2=0.189, p<0.05, N=107).

Growth rates in the Ruddy Ground-dove in Brasília are much higher than reported in previous studies. Ricklefs (15), based on a sample of four nestlings from Surinam (8), found a mean of K= 0.460 days-1. In our sample, 77% of the birds had K's above 0.460 days-1, and 55% had K's above the overall mean of 0.520 days-1 estimated for neotropical birds (Ricklefs 15). This result may be in part a consequence of the situation studied. The granivorous ground-doves had a large supply of seeds and farm grains(6), and nest predation was high (5). As suggested by Ricklefs (14), high growth rates may be more advantageous where there is strong pressure to leave the nest early, where parents produce several clutches in a year, or where there is high predation in the nest. High growth rates can only be realized however in situations of ample food supply, to meet the demands of the nestlings. This combination of factors may well be occuring in the population we studied. Our data show that there is considerable plasticity in growth rates within this species, allowing for quick environmental responses. For example, growth rates and asymptotic weights were higher in nests with one nestling than in nests with two nestlings. Similar declines in growth parameters with increasing brood size have been reported for other columbids, such as the Woodpigeon,Columba palumbus, and the Mourning Dove,Zenaida macroura (9, 10).

Our data are in agreement with evidence that variation in growth parameters is smaller within nests than between nests, possibly because nestlings in the same nest are exposed to more uniform conditions than in population as a whole, and/or have more similar genotypes (15).

Our results show that the Ruddy Ground-dove is able to sustain nearly year-round reproductive activity, with nestling growth rates much higher and more variable than previously recorded for this species and tropical birds in general. If variation within other tropical species proves to be similar, it is clear that much larger sample sizes will be required for meaningful interspecific comparisons. Most previous growth data on neotropical birds comes from Central America. Further studies of South American species, especially those of open habitats, may yield a more general model of patterns of variation in growth characteristics in tropical landbirds.

 

ACKNOWLEDGMENTS

 

This research benefitted from the help of many people. Field assistance was provided by Regina Macedo, Maria Alice. Alves, Mauro Valle, Adriana Moreira, Rodrigo Cavalcanti, and the workers at the University's Experimental Farm. Dr. Colin E. Johnson provided banding equipment and advice. Bird bands used were from CEMAVE, through Paulo Antas. An earlier version of the manuscript was criticized by Edwin Willis and Thomas E. Lacher. Alvaro Negret, Raimundo Henriques and William Magnusson also gave useful suggestions. Revision by Tânia Sanaiotti was very much appreciated. The Conselho Nacional de Desenvolvimento Científico e Tecnológico (CNPq) supported the work.

 

RESUMO

 

Variação intrapopulacional nas taxas de crescimento de filhotes de Rolinha Caldo-de-Feijão (Columbina talpacoti, Aves:Columbidae) no Brasil. Ricklefs (1968,1976) sugeriu que aves tropicais crescem mais lentamente do que aves de regiões temperadas. Contudo, essa hipótese tem sido questionada (Oniki & Ricklefs 1981). A maioria dos dados sobre taxa de crescimento de aves neotropicais são da América Central e Suriname, com poucos dados sobre variação intrapopulacional. Neste ARTIGO, nós concentramos intensivamente nossas observações em uma espécie tropical (filhotes de Rolinha Caldo-de-Feijão, Columbina talpacoti) para um local no Brasil, e quantificamos a variação nas taxas de crescimento em relação ao período do ano, número de filhotes no ninho, e a sequência de eclosão.

Nós usamos dois métodos para estimar os parâmetros de crescimento, o de Ricklefs(1967) e o de Richards (Brisbin et al.1986). As constantes da taxa de crescimento para peso variaram mais entre ninhos que dentro dos ninhos. Variação similar foi observada para o peso assintótico, e para o comprimento final da asa. Nossos resultados mostram que a Rolinha Caldo-de-Feijão é capaz de manter atividade reprodutiva por quase o ano inteiro, com taxas de crescimento de filhotes muito maiores e mais variáveis que o registrado antes para esta espécie e para aves tropicais em geral. Se a variação dentro de espécies tropicais for similar, está claro que tamanho de amostras muito maiores serão necessárias para comparações interespecíficas significativas.

 

REFERENCES

 

  1. Brisbin,I.L.Jr.;White,G.C.;Bush,P.B.1986."PCB intake and the growth of waterfowl:multivariate analyses based on a reparameterized Richards sigmoid model"Growth 50:1-11.
  2. Brisbin,I.L.Jr.; K.W.McLeod,K.W.; G.C.White. 1987. Sigmoid growth and the assessment of Hormesis:a case for caution. Health Physics 52(5):553-559.
  3. Carvalho,C.1957. Relações biológicas entre Columbigallina passerina e C.talpacoti (Aves, Columbidae).Bol.Mus.Par. Emílio Goeldi 7:1-15.
  4. Cintra,R.1983.Taxas de crescimento de filhotes de rolinha, Columbina talpacoti Aves: Columbidae, em relação a fatores ecológicos e populacionais no Planalto Central. Unpubl. M. S. Dissertation, Universidade de Brasília,Brasília,Brasil.114 pp.
  5. Cintra,R.1988. Reproductive ecology of the Ruddy Ground-dove, Columbina talpacoti (Columbidae),in the Central Plateau of Brazil.Wilson Bull.100(3):443-457.
  6. Cintra,R.; Alves,M.A.S.; Cavalcanti,R.B. 1990. Dieta da Rolinha Columbina talpacoti(Aves, Columbidae) no Brasil Central-Comparação entre sexos e idades.Rev.Brasil. Biologia.50(2):469-473.
  7. Eiten,G. 1972. The cerrado vegetation of Brasil.Bot.Rev. 38:201-341.
  8. Haverschmidt,F.1953.Notes on the life history of Columbigallina talpacoti in Surinam.Condor 55: 21-25.
  9. Holcomb, L. C.; Jaeger,M. 1978. Growth and calculation of age in Mourning Dove nestlings.J.Wild.Manage.42:843-852.
  10. Murton,R.K.; Isaacson,A.J.; Westwood,N.J. 1963. The food and growth of nestling woodpigeons in relation to the breeding season. Proc. Zool. Soc. London 141:747-781.
  11. Oniki,Y.; Ricklefs,R.E.1981. More growth rates of birds in the humid New World tropics.Ibis 123: 349-354.
  12. Ratter,J. 1980.Notes on the vegetation of Fazenda Água Limpa, Brasília, DF.Royal Botanic Garden, Edinburgh, Additional series,No.1,124p.
  13. Ricklefs, R.E.1967. A graphical method of fitting equations to growth curves. Ecology 48: 978-983.
  14. Ricklefs,R.E.1968. Patterns of growth in birds. Ibis 110:419-451.
  15. Ricklefs,R.E.1976.Growth rates of birds in the humid New World tropics.Ibis 118:179-207.
  16. Skutch,A.F.1956. Life history of the Ruddy Ground-dove. Condor 58:188-205.
  17. Trollope,J.1974. The breeding and behaviour of the Talpacoti dove. Avicult. Mag.80:86-92.
  18. Wilkinson,L.1991. SYSTAT: The System for Statistics. SYSTAT, Inc. Evanston.